
Citation Information:
Jun Yin, Manqi Li, Guangli Dai, Hongzhao Zhou, Liang Ma, Yixiong Zheng. 3D Printed Multi-material Medical Phantoms for Needle-tissue Interaction Modeling of Heterogeneous Structures. Journal of Bionic Engineering, 2021, 18(2), 346-360.3D Printed Multi-material Medical Phantoms for Needle-tissue Interaction Modeling of Heterogeneous StructuresJun Yin1,2, Manqi Li1,2, Guangli Dai3, Hongzhao Zhou1*, Liang Ma1, Yixiong Zheng4*1. The State Key Laboratory of Fluid Power and Mechatronic Systems, School of Mechanical Engineering, Zhejiang University, Hangzhou 310028,
Abstract
The fabrication of multi-material medical phantoms with both patient-specificity and realistic mechanical properties is of great importance for the development of surgical planning and medical training. In this work, a 3D multi-material printing system for medical phantom manufacturing was developed. Rigid and elastomeric materials are firstly combined in such application for an accurate tactile feedback. The phantom is designed with multiple layers, where silicone ink, Thermoplastic Polyurethane (TPU), and Acrylonitrile Butadiene Styrene (ABS) were chosen as printing materials for skin, soft tissue, and bone, respectively. Then, the printed phantoms were utilized for the investigation of needle-phantom interaction by needle insertion experiments. The mechanical needle-phantom interaction was characterized by skin-soft tissue interfacial puncture force, puncture depth, and number of insertion force peaks. The experiments demonstrated that the manufacturing conditions, i.e. the silicone grease ratio, interfacial thickness and the infill rate, played effective roles in regulating mechanical needle-phantom interaction. Moreover, the influences of material properties, including interfacial thickness and ultimate stress, on needle-phantom interaction were studied by finite element simulation. Also, a patient-specific forearm phantom was printed, where the anatomical features were acquired from Computed Tomography (CT) data. This study provided a potential manufacturing method for multi-material medical phantoms with tunable mechanical properties and offered guidelines for better phantom design.
Fig. W1 Schematic of custom-made multi-nozzle 3D printing system.
Fig. W2 (a) Experimental setup of needle insertion experiment, (b) needle tip of the 30-gauge syringe needle, (c) standard phantom specimen, (d) schematic of standard phantom specimen, and (e) 3D printed standard phantom specimen.
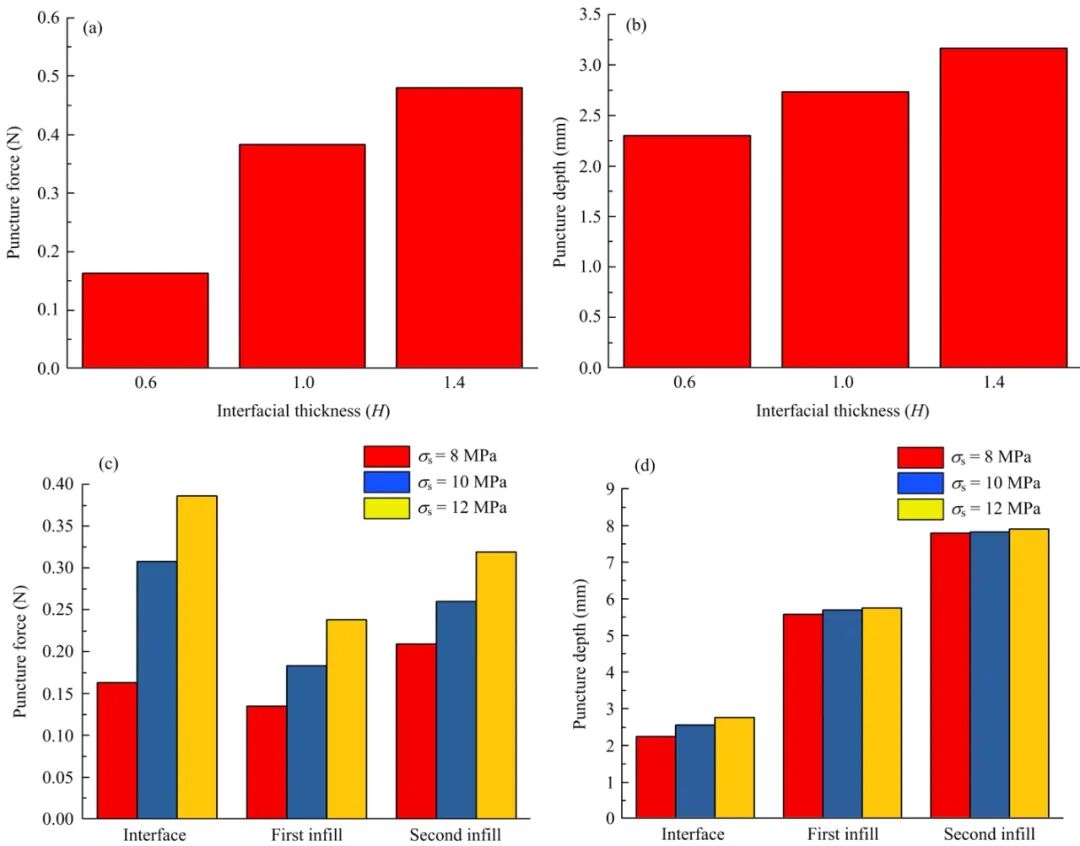
Fig. W3 (a, c) Puncture force and (b, d) puncture depth of needle insertion simulation into standard specimen with various H and ss.
Fig. W4 (a) 3D forearm model reconstructed from CT image and (b) 3D printed patient-specific forearm phantom.
Full text link:https://rdcu.be/ciE22

