Click the blue text above to follow us
![Drone Control: Optimization of Control Using Genetic Algorithms in MATLAB (Optimizing Gain Parameters Eta and K to Reduce Energy Consumption) [Includes MATLAB Source Code Issue 13654]](https://boardor.com/wp-content/uploads/2025/10/236a9647-9971-4188-9b08-8de6a57fd4a6.gif)
![Drone Control: Optimization of Control Using Genetic Algorithms in MATLAB (Optimizing Gain Parameters Eta and K to Reduce Energy Consumption) [Includes MATLAB Source Code Issue 13654]](https://boardor.com/wp-content/uploads/2025/10/3312e9e8-9da2-47ac-ac37-e62e8bfabac2.jpeg)
![Drone Control: Optimization of Control Using Genetic Algorithms in MATLAB (Optimizing Gain Parameters Eta and K to Reduce Energy Consumption) [Includes MATLAB Source Code Issue 13654]](https://boardor.com/wp-content/uploads/2025/10/ede265a4-6e03-4e27-b16a-835be1b1cf08.gif)
Message from the Author
๐ Author Introduction: Graduate from a 985 university, researcher and developer in the field of MATLAB;
๐ SeatRightInscription:Those who travel a hundred miles are half of those who travel ninety.
โ Business Scope: Complete Code, Paper Reproduction, Program Customization, Journal Writing, Research Collaboration
๐CodeAcquisitionMethod:Method to Obtain MATLAB Poseidon Code
๐ซ For more MATLAB path planning simulation content, click below ๐
MATLAB Path Planning (Advanced Version)
![Drone Control: Optimization of Control Using Genetic Algorithms in MATLAB (Optimizing Gain Parameters Eta and K to Reduce Energy Consumption) [Includes MATLAB Source Code Issue 13654]](https://boardor.com/wp-content/uploads/2025/10/7b054db5-4bce-4b1a-a1c5-4c0ff94432d2.gif)
![Drone Control: Optimization of Control Using Genetic Algorithms in MATLAB (Optimizing Gain Parameters Eta and K to Reduce Energy Consumption) [Includes MATLAB Source Code Issue 13654]](https://boardor.com/wp-content/uploads/2025/10/ede265a4-6e03-4e27-b16a-835be1b1cf08.gif)
Introduction
๐๐๐ The table of contents is as follows: ๐๐๐
Table of Contents
๐ฅ1 Overview
๐2 Code and Running Steps
๐3 Running Results
๐4 MATLAB Version and References
๐5 Code Acquisition Method
๐ 6 Simulation Consultation
![Drone Control: Optimization of Control Using Genetic Algorithms in MATLAB (Optimizing Gain Parameters Eta and K to Reduce Energy Consumption) [Includes MATLAB Source Code Issue 13654]](https://boardor.com/wp-content/uploads/2025/10/7b054db5-4bce-4b1a-a1c5-4c0ff94432d2.gif)
![Drone Control: Optimization of Control Using Genetic Algorithms in MATLAB (Optimizing Gain Parameters Eta and K to Reduce Energy Consumption) [Includes MATLAB Source Code Issue 13654]](https://boardor.com/wp-content/uploads/2025/10/83fbcaf4-fe2d-4420-9892-a05e67095df0.gif)
![Drone Control: Optimization of Control Using Genetic Algorithms in MATLAB (Optimizing Gain Parameters Eta and K to Reduce Energy Consumption) [Includes MATLAB Source Code Issue 13654]](https://boardor.com/wp-content/uploads/2025/10/ede265a4-6e03-4e27-b16a-835be1b1cf08.gif)
1 Overview
See CSDN Poseidon with the same title
![Drone Control: Optimization of Control Using Genetic Algorithms in MATLAB (Optimizing Gain Parameters Eta and K to Reduce Energy Consumption) [Includes MATLAB Source Code Issue 13654]](https://boardor.com/wp-content/uploads/2025/10/ede265a4-6e03-4e27-b16a-835be1b1cf08.gif)
2 Code and Running Steps
2.1 Code Snippet2.2 Running Steps
(1) Directly run main.m to generate the graph with one click
![Drone Control: Optimization of Control Using Genetic Algorithms in MATLAB (Optimizing Gain Parameters Eta and K to Reduce Energy Consumption) [Includes MATLAB Source Code Issue 13654]](https://boardor.com/wp-content/uploads/2025/10/eceb4616-0cde-4557-b37f-ee95c1e0f17e.gif)
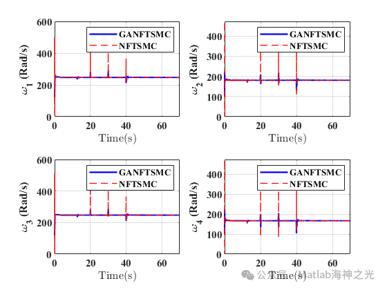
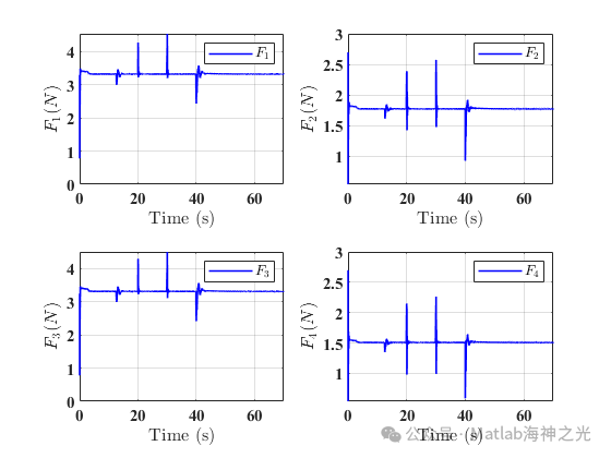
3Running Results
![Drone Control: Optimization of Control Using Genetic Algorithms in MATLAB (Optimizing Gain Parameters Eta and K to Reduce Energy Consumption) [Includes MATLAB Source Code Issue 13654]](https://boardor.com/wp-content/uploads/2025/10/9e3e8889-cd83-4823-a615-80ea4ca03150.png)
![Drone Control: Optimization of Control Using Genetic Algorithms in MATLAB (Optimizing Gain Parameters Eta and K to Reduce Energy Consumption) [Includes MATLAB Source Code Issue 13654]](https://boardor.com/wp-content/uploads/2025/10/82b662c4-3421-4072-939a-13530276646d.png)
![Drone Control: Optimization of Control Using Genetic Algorithms in MATLAB (Optimizing Gain Parameters Eta and K to Reduce Energy Consumption) [Includes MATLAB Source Code Issue 13654]](https://boardor.com/wp-content/uploads/2025/10/a3faac6b-43c3-4ba4-b006-3187e1d6d4ce.png)
![Drone Control: Optimization of Control Using Genetic Algorithms in MATLAB (Optimizing Gain Parameters Eta and K to Reduce Energy Consumption) [Includes MATLAB Source Code Issue 13654]](https://boardor.com/wp-content/uploads/2025/10/1ad69ed5-a13a-4b11-9e64-0bbb56d4a0c0.png)
![Drone Control: Optimization of Control Using Genetic Algorithms in MATLAB (Optimizing Gain Parameters Eta and K to Reduce Energy Consumption) [Includes MATLAB Source Code Issue 13654]](https://boardor.com/wp-content/uploads/2025/10/e7891bda-081e-4e33-ba34-964b3ad8eb4a.png)
![Drone Control: Optimization of Control Using Genetic Algorithms in MATLAB (Optimizing Gain Parameters Eta and K to Reduce Energy Consumption) [Includes MATLAB Source Code Issue 13654]](https://boardor.com/wp-content/uploads/2025/10/285bcec8-34d8-47c5-bef4-84be3a06f1f7.png)
![Drone Control: Optimization of Control Using Genetic Algorithms in MATLAB (Optimizing Gain Parameters Eta and K to Reduce Energy Consumption) [Includes MATLAB Source Code Issue 13654]](https://boardor.com/wp-content/uploads/2025/10/eceb4616-0cde-4557-b37f-ee95c1e0f17e.gif)
4MATLAB Version and References
1 MATLAB Version
2019b
2 References
[1] Meng Xiangzhong, Du Xiangdang, Shi Xiuhua. Research on Optimization Method of Vibration Active Control Based on Genetic Algorithm [J]. Computer Measurement and Control. 2008
3 Note
Introduction to this part is extracted from the internet for reference only. If there is any infringement, please contact for removal.
![Drone Control: Optimization of Control Using Genetic Algorithms in MATLAB (Optimizing Gain Parameters Eta and K to Reduce Energy Consumption) [Includes MATLAB Source Code Issue 13654]](https://boardor.com/wp-content/uploads/2025/10/e24be8b0-11e7-45a8-bb25-ad94c8551fb8.gif)
![Drone Control: Optimization of Control Using Genetic Algorithms in MATLAB (Optimizing Gain Parameters Eta and K to Reduce Energy Consumption) [Includes MATLAB Source Code Issue 13654]](https://boardor.com/wp-content/uploads/2025/10/ede265a4-6e03-4e27-b16a-835be1b1cf08.gif)
5 Code Acquisition Method
CodeAcquisitionMethod:Method to Obtain MATLAB Poseidon Code
![Drone Control: Optimization of Control Using Genetic Algorithms in MATLAB (Optimizing Gain Parameters Eta and K to Reduce Energy Consumption) [Includes MATLAB Source Code Issue 13654]](https://boardor.com/wp-content/uploads/2025/10/ede265a4-6e03-4e27-b16a-835be1b1cf08.gif)
6 Simulation Consultation
**๐ Simulation Consultation
1 Various Intelligent Optimization Algorithm Improvements and Applications**
1.1 PID Optimization
1.2 VMD Optimization
1.3 Distribution Network Reconstruction
1.4 3D Packing
1.5 Microgrid Optimization
1.6 Layout Optimization
1.7 Parameter Optimization
1.8 Cost Optimization
1.9 Charging Optimization
1.10 Scheduling Optimization
1.11 Price Optimization
1.12 Departure Optimization
1.13 Allocation Optimization
1.14 Coverage Optimization
1.15 Control Optimization
1.16 Inventory Optimization
1.17 Routing Optimization
1.18 Design Optimization
1.19 Location Optimization
1.20 Absorption Optimization
1.21 Site Selection Optimization
1.22 Operation Optimization
1.23 Assignment Optimization
1.24 Combination Optimization
1.25 Workshop Scheduling
1.26 Production Scheduling
1.27 Economic Scheduling
1.28 Assembly Line Scheduling
1.29 Reservoir Scheduling
1.30 Cargo Position Optimization
1.31 Bus Scheduling Optimization
1.32 Container Ship Loading Optimization
1.33 Pump Combination Optimization
1.34 Medical Resource Allocation Optimization
1.35 Visual Base Station and Drone Site Selection Optimization
**2 Machine Learning and Deep Learning Classification and Prediction**
**2.1 Machine Learning and Deep Learning Classification**
2.1.1 BiLSTM Bidirectional Long Short-Term Memory Network Classification
2.1.2 BP Neural Network Classification
2.1.3 CNN Convolutional Neural Network Classification
2.1.4 DBN Deep Belief Network Classification
2.1.5 DELM Deep Learning Extreme Learning Machine Classification
2.1.6 ELMAN Recurrent Neural Network Classification
2.1.7 ELM Extreme Learning Machine Classification
2.1.8 GRNN General Regression Neural Network Classification
2.1.9 GRU Gated Recurrent Unit Classification
2.1.10 KELM Hybrid Kernel Extreme Learning Machine Classification
2.1.11 KNN Classification
2.1.12 LSSVM Least Squares Support Vector Machine Classification
2.1.13 LSTM Long Short-Term Memory Network Classification
2.1.14 MLP Multi-Layer Perceptron Classification
2.1.15 PNN Probabilistic Neural Network Classification
2.1.16 RELM Robust Extreme Learning Machine Classification
2.1.17 RF Random Forest Classification
2.1.18 SCN Stochastic Configuration Network Model Classification
2.1.19 SVM Support Vector Machine Classification
2.1.20 XGBOOST Classification
**2.2 Machine Learning and Deep Learning Prediction**
2.2.1 ANFIS Adaptive Neuro-Fuzzy Inference System Prediction
2.2.2 ANN Artificial Neural Network Prediction
2.2.3 ARMA Autoregressive Moving Average Model Prediction
2.2.4 BF Particle Filter Prediction
2.2.5 BiLSTM Bidirectional Long Short-Term Memory Network Prediction
2.2.6 BLS Broad Learning System Prediction
2.2.7 BP Neural Network Prediction
2.2.8 CNN Convolutional Neural Network Prediction
2.2.9 DBN Deep Belief Network Prediction
2.2.10 DELM Deep Learning Extreme Learning Machine Prediction
2.2.11 DKELM Regression Prediction
2.2.12 ELMAN Recurrent Neural Network Prediction
2.2.13 ELM Extreme Learning Machine Prediction
2.2.14 ESN Echo State Network Prediction
2.2.15 FNN Feedforward Neural Network Prediction
2.2.16 GMDN Prediction
2.2.17 GMM Gaussian Mixture Model Prediction
2.2.18 GRNN General Regression Neural Network Prediction
2.2.19 GRU Gated Recurrent Unit Prediction
2.2.20 KELM Hybrid Kernel Extreme Learning Machine Prediction
2.2.21 LMS Least Mean Squares Algorithm Prediction
2.2.22 LSSVM Least Squares Support Vector Machine Prediction
2.2.23 LSTM Long Short-Term Memory Network Prediction
2.2.24 RBF Radial Basis Function Neural Network Prediction
2.2.25 RELM Robust Extreme Learning Machine Prediction
2.2.26 RF Random Forest Prediction
2.2.27 RNN Recurrent Neural Network Prediction
2.2.28 RVM Relevance Vector Machine Prediction
2.2.29 SVM Support Vector Machine Prediction
2.2.30 TCN Temporal Convolutional Network Prediction
2.2.31 XGBoost Regression Prediction
2.2.32 Fuzzy Prediction
2.2.33 Singular Spectrum Analysis Method SSA Time Series Prediction
**2.3 Machine Learning and Deep Learning Practical Application Prediction**
CPI Index Prediction, PM2.5 Concentration Prediction, SOC Prediction, Financial Warning Prediction, Yield Prediction, Parking Space Prediction, Pest Prediction, Steel Thickness Prediction, Battery Health Status Prediction, Power Load Prediction, Housing Price Prediction, Corrosion Rate Prediction, Fault Diagnosis Prediction, Photovoltaic Power Prediction, Trajectory Prediction, Aircraft Engine Life Prediction, Exchange Rate Prediction, Concrete Strength Prediction, Heating Furnace Temperature Prediction, Price Prediction, Traffic Flow Prediction, Resident Consumption Index Prediction, Air Quality Prediction, Grain Temperature Prediction, Temperature Prediction, Clean Water Value Prediction, Unemployment Rate Prediction, Electricity Consumption Prediction, Transport Volume Prediction, Manufacturing Purchasing Managers Index Prediction
**3 Image Processing**
**3.1 Image Edge Detection**
**3.2 Image Processing**
**3.3 Image Segmentation**
**3.4 Image Classification**
**3.5 Image Tracking**
**3.6 Image Encryption and Decryption**
**3.7 Image Retrieval**
**3.8 Image Registration**
**3.9 Image Stitching**
**3.10 Image Evaluation**
**3.11 Image Denoising**
**3.12 Image Fusion**
**3.13 Image Recognition**
3.13.1 Dial Recognition
3.13.2 Lane Line Recognition
3.13.3 Vehicle Counting
3.13.4 Vehicle Recognition
3.13.5 License Plate Recognition
3.13.6 Parking Space Recognition
3.13.7 Size Detection
3.13.8 Answer Sheet Recognition
3.13.9 Appliance Recognition
3.13.10 Fall Detection
3.13.11 Animal Recognition
3.13.12 QR Code Recognition
3.13.13 Invoice Recognition
3.13.14 Clothing Recognition
3.13.15 Chinese Character Recognition
3.13.16 Traffic Light Recognition
3.13.17 Iris Recognition
3.13.18 Fire Detection
3.13.19 Disease Classification
3.13.20 Traffic Sign Recognition
3.13.21 Card Number Recognition
3.13.22 Mask Recognition
3.13.23 Crack Detection
3.13.24 Target Tracking
3.13.25 Fatigue Detection
3.13.26 Flag Recognition
3.13.27 Grass Recognition
3.13.28 Face Recognition
3.13.29 Renminbi Recognition
3.13.30 ID Card Recognition
3.13.31 Gesture Recognition
3.13.32 Digit and Letter Recognition
3.13.33 Palm Recognition
3.13.34 Leaf Recognition
3.13.35 Fruit Recognition
3.13.36 Barcode Recognition
3.13.37 Temperature Detection
3.13.38 Defect Detection
3.13.39 Chip Detection
3.13.40 Behavior Recognition
3.13.41 CAPTCHA Recognition
3.13.42 Medicinal Material Recognition
3.13.43 Coin Recognition
3.13.44 Postal Code Recognition
3.13.45 Playing Card Recognition
3.13.46 Fingerprint Recognition
**3.14 Image Restoration**
**3.15 Image Compression**
**3.16 Image Steganography**
**3.17 Image Enhancement**
**3.18 Image Reconstruction**
**4 Path Planning**
**4.1 Traveling Salesman Problem (TSP)**
4.1.1 Single Traveling Salesman Problem (TSP)
4.1.2 Multiple Traveling Salesman Problem (MTSP)
**4.2 Vehicle Routing Problem (VRP)**
4.2.1 Vehicle Routing Problem (VRP)
4.2.2 Capacitated Vehicle Routing Problem (CVRP)
4.2.3 Capacitated + Time Window + Distance Vehicle Routing Problem (DCTWVRP)
4.2.4 Capacitated + Distance Vehicle Routing Problem (DCVRP)
4.2.5 Distance Vehicle Routing Problem (DVRP)
4.2.6 Vehicle Routing Problem with Charging Stations + Time Windows (ETWVRP)
4.2.3 Vehicle Routing Problem with Multiple Capacities (MCVRP)
4.2.4 Distance Multi-Vehicle Routing Problem (MDVRP)
4.2.5 Simultaneous Pickup and Delivery Vehicle Routing Problem (SDVRP)
4.2.6 Vehicle Routing Problem with Time Windows + Capacities (TWCVRP)
4.2.6 Vehicle Routing Problem with Time Windows (TWVRP)
**4.3 Multimodal Transport Problem**
**4.4 Robot Path Planning**
4.4.1 Obstacle Avoidance Path Planning
4.4.2 Maze Path Planning
4.4.3 Grid Map Path Planning
**4.5 Delivery Path Planning**
4.5.1 Cold Chain Delivery Path Planning
4.5.2 Takeout Delivery Path Planning
4.5.3 Mask Delivery Path Planning
4.5.4 Medicine Delivery Path Planning
4.5.5 Delivery Path Planning with Charging Stations
4.5.6 Supermarket Chain Delivery Path Planning
4.5.7 Vehicle Collaborative Drone Delivery Path Planning
**4.6 Drone Path Planning**
4.6.1 Aircraft Simulation
4.6.2 Drone Flight Operations
4.6.3 Drone Trajectory Tracking
4.6.4 Drone Swarm Simulation
4.6.5 3D Path Planning for Drones
4.6.6 Drone Formation
4.6.7 Drone Cooperative Tasks
4.6.8 Drone Task Allocation
**5 Speech Processing**
**5.1 Speech Emotion Recognition**
**5.2 Sound Source Localization**
**5.3 Feature Extraction**
**5.4 Speech Coding**
**5.5 Speech Processing**
**5.6 Speech Separation**
**5.7 Speech Analysis**
**5.8 Speech Synthesis**
**5.9 Speech Encryption**
**5.10 Speech Denoising**
**5.11 Speech Recognition**
**5.12 Speech Compression**
**5.13 Speech Hiding**
**6 Cellular Automata**
**6.1 Cellular Automata Virus Simulation**
**6.2 Cellular Automata Urban Planning**
**6.3 Cellular Automata Traffic Flow**
**6.4 Cellular Automata Gas**
**6.5 Cellular Automata Personnel Evacuation**
**6.6 Cellular Automata Forest Fire**
**6.7 Cellular Automata Game of Life**
**7 Signal Processing**
**7.1 Fault Signal Diagnosis Analysis**
7.1.1 Gear Damage Identification
7.1.2 Asynchronous Motor Rotor Broken Bar Fault Diagnosis
7.1.3 Rolling Element Inner and Outer Ring Fault Diagnosis Analysis
7.1.4 Motor Fault Diagnosis Analysis
7.1.5 Bearing Fault Diagnosis Analysis
7.1.6 Gearbox Fault Diagnosis Analysis
7.1.7 Three-Phase Inverter Fault Diagnosis Analysis
7.1.8 Diesel Engine Fault Diagnosis
**7.2 Radar Communication**
7.2.1 FMCW Simulation
7.2.2 GPS Anti-Jamming
7.2.3 Radar LFM
7.2.4 Radar MIMO
7.2.5 Radar Angle Measurement
7.2.6 Radar Imaging
7.2.7 Radar Localization
7.2.8 Radar Echo
7.2.9 Radar Detection
7.2.10 Radar Digital Signal Processing
7.2.11 Radar Communication
7.2.12 Radar Phased Array
7.2.13 Radar Signal Analysis
7.2.14 Radar Early Warning
7.2.15 Radar Pulse Compression
7.2.16 Antenna Radiation Pattern
7.2.17 Radar Clutter Simulation
**7.3 Biological Electrical Signals**
7.3.1 Electromyography (EMG)
7.3.2 Electroencephalography (EEG)
7.3.3 Electrocardiography (ECG)
7.3.4 Heart Simulation
**7.4 Communication Systems**
7.4.1 DOA Estimation
7.4.2 LEACH Protocol
7.4.3 Encoding and Decoding
7.4.4 Variational Mode Decomposition
7.4.5 Ultra-Wideband Simulation
7.4.6 Multipath Fading Simulation
7.4.7 Cellular Networks
7.4.8 Pipeline Leakage
7.4.9 Empirical Mode Decomposition
7.4.10 Filter Design
7.4.11 Analog Signal Transmission
7.4.12 Analog Signal Modulation
7.4.13 Digital Baseband Signals
7.4.14 Digital Channels
7.4.15 Digital Signal Processing
7.4.16 Digital Signal Transmission
7.4.17 Digital Signal Denoising
7.4.18 Underwater Acoustic Communication
7.4.19 Communication Simulation
7.4.20 Wireless Transmission
7.4.21 Bit Error Rate Simulation
7.4.22 Modern Communication
7.4.23 Channel Estimation
7.4.24 Signal Detection
7.4.25 Signal Fusion
7.4.26 Signal Recognition
7.4.27 Compressed Sensing
7.4.28 Noise Simulation
7.4.29 Noise Interference
**7.5 Drone Communication**
**7.6 Wireless Sensor Localization and Layout**
7.6.1 WSN Localization
7.6.2 Height Estimation
7.6.3 Filter Tracking
7.6.4 Target Localization
7.6.4.1 Dv-Hop Localization
7.6.4.2 RSSI Localization
7.6.4.3 Intelligent Algorithm Optimization Localization
7.6.5 Integrated Navigation
**8 Power Systems**
Microgrid Optimization, Reactive Power Optimization, Distribution Network Reconstruction, Energy Storage Configuration